Spherical Bessel and Hankel functions
spherical Bessel functions for interior fields
For the interior fields, the components are real-valued, therefore the animated real-part has fixed zero-crossings.
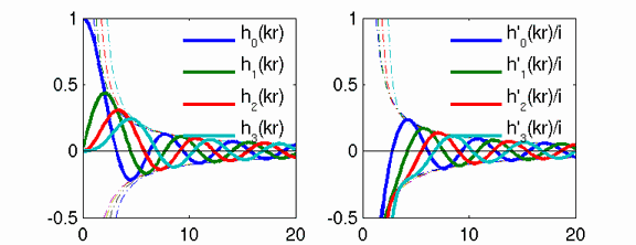
spherical Hankel functions for exterior fields
For exterior fields, zero-crossings must travel outwards and the magnitude must decay with 1/r after some distance.
